
近期,我院房铁峰教授与北京大学孙庆丰教授和中南大学郭爱敏教授合作,首次提出了一个粒子数守恒的微观理论用于描述介观超导岛的关联效应和输运性质。该研究工作近期发表在Nature Index期刊Physical Review B上(T. F. Fang, A. M. Guo, and Q. F. Sun, Phys. Rev. B 106, 075117 (2022)),pornHD 理学院为第一单位。
介观超导岛又称超导量子点,是一种体积很小的超导体颗粒,具有与宏观超导体和正常量子点都非常不同的性质。介观超导岛可用于构造超导单/双电子隧穿晶体管,是基础物理和器件应用研究的热点。最近十几年,利用近邻效应制备的纳米线超导岛被认为是实现Majorana费米子的理想体系,吸引了大量的实验研究。相比实验研究进展,对介观超导岛的基本理论描述却并不完善。现有理论研究大多是基于Bardeen-Cooper-Schrieffer平均场近似或Bogoliubov-de Gennes方法。这些方法低估了库伯对的量子涨落,破坏粒子数守恒,甚至不能给出在确定粒子数下的基态能量,并不适用于研究有极强量子涨落的介观超导岛。能准确描述介观超导岛各种实验现象的微观理论模型目前尚未建立起来。
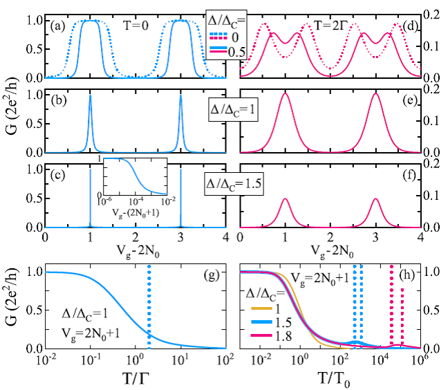
为了解释已有实验现象并探索新结果,该课题组直接引入岛内库伯对的产生煙灭算符,提出了一个介观超导岛的新理论模型。该理论模型充分考虑了库伯对的量子涨落效应,并且保持粒子数守恒。这使得模型可以准确刻画岛内超导配对能和库仑相互作用的竞争。利用数值重整化群方法求解模型,研究人员系统性地研究了介观超导岛的关联效应和输运性质。从2e周期到1e周期的库仑振荡,从库仑阻塞到近藤效应,从自旋近藤区到混合价区再到各向导性的电荷近腾相,都很好地解释了已知实验结果。同时,新理论还预测体系中存在一种由电子隧穿过程直接诱导的电荷交换场,它能抑制电荷近藤关联。
这项工作得到了国家自然科学基金项目和国家重点研发计划项目的资助。
(黄小妹)
相关链接://journals.aps.org/prb/abstract/10.1103/PhysRevB.106.075117